REKLAMA
Dziennik Ustaw - rok 2025 poz. 1764
ROZPORZĄDZENIE
PREZESA RADY MINISTRÓW
z dnia 9 grudnia 2025 r.
w sprawie wpłat na pokrycie kosztów nadzoru nad podmiotami obsługującymi kredyty oraz nabywcami kredytów i ich przedstawicielami
Na podstawie art. 48 ustawy z dnia 20 grudnia 2024 r. o podmiotach obsługujących kredyty i nabywcach kredytów (Dz. U. z 2025 r. poz. 146) zarządza się, co następuje:
§ 1. [Zakres regulacji]
1) sposób obliczenia wysokości wpłat, o których mowa w art. 45 ust. 1 ustawy z dnia 20 grudnia 2024 r. o podmiotach obsługujących kredyty i nabywcach kredytów, zwanych dalej „należnymi wpłatami”, oraz termin ich wnoszenia;
2) termin wnoszenia wpłat, o których mowa w art. 46 ust. 1 ustawy z dnia 20 grudnia 2024 r. o podmiotach obsługujących kredyty i nabywcach kredytów, zwanej dalej „ustawą”.
§ 2. [Sposób obliczania należnej wpłaty]
𝐾𝑜𝑛 = 𝑃𝑜𝑛?1 𝑥 𝑆
gdzie:
𝐾𝑜𝑛 - oznacza należną wpłatę,
𝑃𝑜𝑛?1 - oznacza sumę przychodów podmiotu obsługującego kredyty, o którym mowa w art. 10 ust. 1 pkt 1 ustawy, zwanego dalej „podmiotem obsługującym kredyty”, uzyskanych z działalności w zakresie obsługi kredytów za rok obrotowy poprzedzający rok kalendarzowy, za który jest wnoszona należna wpłata, a w przypadku podmiotu obsługującego kredyty, dla którego rok obrotowy nie pokrywa się z rokiem kalendarzowym - sumę przychodów za rok obrotowy zakończony w roku kalendarzowym poprzedzającym rok, za który jest wnoszona należna wpłata,
𝑆 - oznacza stawkę obowiązującą w roku kalendarzowym, za który jest wnoszona należna wpłata, obliczaną zgodnie z ust. 3 i 6.
2. Jeżeli wysokość należnej wpłaty jest niższa niż 4000 zł, jej wysokość przyjmuje się w wysokości 4000 zł.
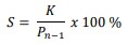
3. Stawkę (S) oblicza się według wzoru:

gdzie:
𝐾 - oznacza koszty nadzoru, o którym mowa w art. 30 ust. 1 ustawy, nad podmiotami obsługującymi kredyty, zwane dalej „kosztami nadzoru nad podmiotami obsługującymi kredyty”, do pokrycia przez te podmioty w roku kalendarzowym, za który jest wnoszona należna wpłata, obliczane zgodnie z ust. 4,
𝑃𝑛?1 - oznacza sumę przychodów wszystkich podmiotów obsługujących kredyty, które prowadziły działalność w ostatnim dniu roku poprzedzającego rok kalendarzowy, za który jest wnoszona należna wpłata, uzyskanych z działalności w zakresie obsługi kredytów w roku obrotowym poprzedzającym rok kalendarzowy, w którym jest wnoszona należna wpłata, a w przypadku podmiotów obsługujących kredyty, dla których rok obrotowy obejmuje okres inny niż rok kalendarzowy - za rok obrotowy zakończony w roku kalendarzowym poprzedzającym rok, za który jest wnoszona należna wpłata.
4. Koszty nadzoru nad podmiotami obsługującymi kredyty do pokrycia przez te podmioty w roku kalendarzowym, za który jest wnoszona należna wpłata, (K) oblicza się według wzoru:
𝐾 = 𝑃𝐾𝑛 ? (𝑃𝐾𝑛?1 ? 𝑊𝐾𝑛?1) ? 𝑂𝑛?1
gdzie:
𝑃𝐾𝑛 - oznacza planowane koszty nadzoru, o których mowa w art. 19a ust. 2 pkt 1 ustawy z dnia 21 lipca 2006 r. o nadzorze nad rynkiem finansowym (Dz. U. z 2025 r. poz. 640 i 1069), zwanej dalej „ustawą o nadzorze nad rynkiem finansowym”, ujęte w rocznym planie finansowym Urzędu Komisji Nadzoru Finansowego, zwanego dalej „Urzędem Komisji”, na rok kalendarzowy, za który jest wnoszona należna wpłata, w części przypadającej na koszty nadzoru nad podmiotami obsługującymi kredyty,
𝑃𝐾𝑛?1 - oznacza planowane koszty nadzoru, o których mowa w art. 19a ust. 2 pkt 1 ustawy o nadzorze nad rynkiem finansowym, ujęte w rocznym planie finansowym Urzędu Komisji na rok kalendarzowy poprzedzający rok, za który jest wnoszona należna wpłata, w części przypadającej na koszty nadzoru nad podmiotami obsługującymi kredyty,
𝑊𝐾𝑛?1 - oznacza wykonane koszty nadzoru, o których mowa w art. 19a ust. 2 pkt 1 ustawy o nadzorze nad rynkiem finansowym, ujęte w rocznym planie finansowym Urzędu Komisji na rok kalendarzowy poprzedzający rok, za który jest wnoszona należna wpłata, w części przypadającej na koszty nadzoru nad podmiotami obsługującymi kredyty,
𝑂𝑛?1 - oznacza sumę wartości wpłat, o których mowa w art. 46 ust. 1 ustawy, oraz opłat, o których mowa w art. 47 ust. 1 i 2 ustawy, dokonanych w roku kalendarzowym poprzedzającym rok, za który jest wnoszona należna wpłata.
5. Do ustalenia stawki przyjmuje się dane za rok obrotowy:
1) poprzedzający rok kalendarzowy, w którym jest wnoszona należna wpłata,
2) zakończony w roku kalendarzowym poprzedzającym rok, za który jest wnoszona należna wpłata - w przypadku podmiotów obsługujących kredyty, dla których rok obrotowy obejmuje okres inny niż rok kalendarzowy
- przekazane Komisji Nadzoru Finansowego, zwanej dalej „Komisją”, na podstawie art. 28 ust. 2 ustawy, które Komisja posiada w dniu 30 kwietnia roku kalendarzowego, za który jest wnoszona należna wpłata.
6. W przypadku gdy wysokość stawki obliczona zgodnie z ust. 3 przekracza 0,5 %, do obliczenia należnej wpłaty przyjmuje się stawkę w wysokości 0,5 %.
§ 3. [Ogłaszanie stawki i danych przez Przewodniczącego Komisji Nadzoru Finansowego]
1) wysokość stawki obliczonej zgodnie z § 2 ust. 3, obowiązującej w roku kalendarzowym, za który jest wnoszona należna wpłata;
2) wysokość kosztów nadzoru nad podmiotami obsługującymi kredyty do pokrycia przez te podmioty w roku kalendarzowym, za który jest należna wpłata, ze wskazaniem wartości poszczególnych zmiennych przyjętych do ich ustalenia zgodnie z § 2 ust. 4;
3) sumę przychodów wszystkich podmiotów obsługujących kredyty, które prowadziły działalność w ostatnim dniu roku poprzedzającego rok kalendarzowy, za który jest wnoszona należna wpłata, uzyskanych z działalności w zakresie obsługi kredytów w roku obrotowym poprzedzającym rok kalendarzowy, w którym jest wnoszona należna wpłata, a w przypadku podmiotów obsługujących kredyty, dla których rok obrotowy obejmuje okres inny niż rok kalendarzowy - za rok obrotowy zakończony w roku kalendarzowym poprzedzającym rok, za który jest wnoszona należna wpłata.
§ 4. [Termin wnoszenia należnej wpłaty]
§ 5. [Termin i forma deklaracji o należnej wpłacie]
2. Deklarację, o której mowa w ust. 1, sporządza się na formularzu zgodnie ze wzorem określonym w załączniku do rozporządzenia.
§ 6. [Termin wnoszenia wpłaty z art. 46 ustawy o podmiotach obsługujących kredyty i nabywcach kredytów]
§ 7. [Pierwszy rok wnoszenia należnej wpłaty]
§ 8. [Pierwszy okres wnoszenia wpłaty omówionej w art. 46 ust. 1 ustawy o podmiotach obsługujących kredyty i nabywcach kredytów]
§ 9. [Wejście w życie]
Prezes Rady Ministrów: D. Tusk
Załącznik do rozporządzenia Prezesa Rady Ministrów
z dnia 9 grudnia 2025 r. (Dz. U. poz. 1764)
WZÓR - DEKLARACJA PODMIOTU OBSŁUGUJĄCEGO KREDYTY O WYSOKOŚCI NALEŻNEJ WPŁATY NA POKRYCIE KOSZTÓW NADZORU

- Data ogłoszenia: 2025-12-12
- Data wejścia w życie: 2025-12-27
- Data obowiązywania: 2025-12-27
REKLAMA
Dziennik Ustaw
REKLAMA
REKLAMA
