REKLAMA
Dziennik Ustaw - rok 2022 poz. 1204
ROZPORZĄDZENIE
MINISTRA OBRONY NARODOWEJ
z dnia 10 maja 2022 r.
w sprawie równoważników pieniężnych przysługujących żołnierzom zawodowym w zamian za umundurowanie i wyekwipowanie niewydane w naturze
Na podstawie art. 334 ust. 5 pkt 1 ustawy z dnia 11 marca 2022 r. o obronie Ojczyzny (Dz. U. poz. 655 i 974) zarządza się, co następuje:
§ 1. [Zakres regulacji]
§ 2. [Obliczanie wysokości równoważników]
2. Równoważniki zmniejsza się o wartość przedmiotów umundurowania i wyekwipowania wydanych w naturze.
3. Równoważniki zmniejsza się o wartość:
1) przyjętą do określenia wysokości równoważników pieniężnych przysługujących za umundurowanie i wyekwipowanie, którego normy należności określono w załączniku nr 1 w zestawach nr 1-4, 9-12 i 17-20 przepisów wydanych na podstawie art. 334 ust. 4 pkt 1 ustawy z dnia 11 marca 2022 r. o obronie Ojczyzny;
2) przedmiotu określonego w załączniku nr 4 przepisów wydanych na podstawie art. 334 ust. 4 pkt 1 ustawy z dnia 11 marca 2022 r. o obronie Ojczyzny.
§ 3. [Wypłacanie równoważnika żołnierzowi zawodowemu]
1) w naturze należnych przedmiotów umundurowania i wyekwipowania, których normy należności określono w załączniku nr 1 w zestawach nr 1-4, 9-12 i 17-20 przepisów wydanych na podstawie art. 334 ust. 4 pkt 1 ustawy z dnia 11 marca 2022 r. o obronie Ojczyzny,
2) munduru polowego, munduru polowego letniego, munduru ćwiczebnego Marynarki Wojennej wzór 2010 i munduru ćwiczebnego letniego Marynarki Wojennej wzór 2010, których normy należności określono w załączniku nr 1 w zestawach nr 7 (w kolumnach 5-6), 15 (w kolumnach 5-6), 23 (w kolumnach 7-8 i 9-10), 25 (w kolumnach 5-6) oraz 27 (w kolumnach 5-6, 7-8, 9-10 i 17-18) przepisów wydanych na podstawie art. 334 ust. 4 pkt 1 ustawy z dnia 11 marca 2022 r. o obronie Ojczyzny
- wypłaca się równoważnik.
2. Równoważnik, o którym mowa w ust. 1 pkt 1, obejmuje również czyszczenie umundurowania i wyekwipowania.
3. Wysokość równoważnika, o którym mowa w ust. 1 pkt 1, jest określona w załączniku nr 1 do rozporządzenia.
4. Wysokość równoważnika, o którym mowa w ust. 1 pkt 2, jest określona w załączniku nr 9 do rozporządzenia.
5. Żołnierzowi - kobiecie wypłaca się w roku powołania do zawodowej służby wojskowej równoważnik, o którym mowa w ust. 1 pkt 1, w wysokości określonej w załączniku nr 1 do rozporządzenia w wierszu oznaczonym lp. 6.
6. Szeregowemu (marynarzowi) zawodowemu wypłaca się w roku kalendarzowym, w którym upływa mu sześćdziesiąty miesiąc zawodowej służby wojskowej, równoważnik, o którym mowa w ust. 1 pkt 1, w wysokości określonej w załączniku nr 1 do rozporządzenia w wierszu oznaczonym lp. 5 pkt 1.
§ 4. [Wypłacanie równoważnika żołnierzowi mianowanemu na wyższy stopień]
1) pułkownikowi (komandorowi) mianowanemu na stopień generała brygady (kontradmirała) - równoważnik na pokrycie wydatków za przedmioty uszyte na miarę oraz wykonanie oznak (haftów) do należnego umundurowania;
2) mianowanemu na wyższy stopień wojskowy inny niż wymieniony w pkt 1 - równoważnik na pokrycie wydatków za wykonanie oznak (haftów) do należnego umundurowania.
2. Wysokość równoważnika dla żołnierzy mianowanych na wyższy stopień wojskowy jest określona w załączniku nr 2 do rozporządzenia.
§ 5. [Wypłacanie równoważnika żołnierzowi zawodowemu]
2. Równoważnik, o którym mowa w ust. 1, wypłaca się w wysokości rocznej wartości wydanego przedmiotu.
§ 6. [Wypłacanie równoważnika żołnierzowi Jednostki Wojskowej Nr 2305]
2. Równoważnik wypłaca się w wysokości należności:
1) całkowitej - jednorazowo z dniem wyznaczenia na stanowisko służbowe uprawniające do otrzymania wyposażenia dodatkowego ochrony VIP;
2) rocznej - w kolejnych latach służby.
3. Wysokość równoważnika jest określona w załączniku nr 3 do rozporządzenia.
§ 7. [Wypłacanie równoważnika]
2. Równoważnik wypłaca się w wysokości należności:
1) całkowitej - z dniem wyznaczenia na pierwsze stanowisko służbowe uprawniające do otrzymania ubiorów cywilnych, a w przypadku żołnierzy zawodowych Żandarmerii Wojskowej wyznaczonych do nieetatowych grup ochrony, żołnierzy zawodowych Oddziału Specjalnego Żandarmerii Wojskowej w Warszawie oraz żołnierzy zawodowych Żandarmerii Wojskowej wykonujących zadania ochrony lotnisk wojskowych z dniem rozpoczęcia po raz pierwszy wykonywania zadań ochronnych;
2) rocznej - w kolejnych latach służby.
3. Wysokość równoważnika za ubiory cywilne niewydane w naturze jest określona w załączniku nr 3 do rozporządzenia.
§ 8. [Wypłacanie równoważnika żołnierzowi studentowi]
2. Wysokość równoważnika dla żołnierza studenta w akademii, szkole i uczelni wojskowej za przedmioty umundurowania i wyekwipowania niewydane w naturze jest określona w załączniku nr 4 do rozporządzenia.
§ 9. [Wypłacanie równoważnika żołnierzowi studentowi]
1) środki do utrzymania higieny osobistej oraz konserwacji obuwia - od pierwszego dnia służby, a następnie za każdy rozpoczęty miesiąc kalendarzowy;
2) przybory do utrzymania higieny osobistej oraz konserwacji obuwia - od pierwszego dnia służby, a następnie na III i V roku nauki.
2. Za okres do 15 dni kalendarzowych służby w danym miesiącu kalendarzowym wypłaca się połowę równoważnika, o którym mowa w ust. 1 pkt 1.
3. Wysokość równoważnika dla żołnierza studenta w akademii, szkole i uczelni wojskowej za środki do utrzymania higieny osobistej oraz konserwacji obuwia jest określona w załączniku nr 5 do rozporządzenia.
4. Wysokość równoważnika dla żołnierza studenta w akademii, szkole i uczelni wojskowej za przybory do utrzymania higieny osobistej oraz konserwacji obuwia jest określona w załączniku nr 6 do rozporządzenia.
§ 10. [Wypłacanie równoważnika żołnierzowi skierowanemu do pełnienia służby poza granicami państwa]
1) środki do utrzymania higieny osobistej oraz konserwacji obuwia - od pierwszego dnia służby poza granicami państwa, a następnie za każdy rozpoczęty miesiąc kalendarzowy;
2) przedmioty umundurowania i wyekwipowania, przybory do utrzymania higieny osobistej oraz konserwacji obuwia - jednorazowo za okres wykonywania zadań poza granicami państwa.
2. Równoważnik, o którym mowa w ust. 1 pkt 1, wypłaca się w przypadku możliwości zakupu należnych środków do utrzymania higieny osobistej oraz konserwacji obuwia w rejonie polskiego kontyngentu wojskowego.
3. Za okres do 15 dni kalendarzowych służby poza granicami państwa w składzie polskich kontyngentów wojskowych w danym miesiącu kalendarzowym wypłaca się połowę określonego równoważnika, o którym mowa w ust. 1 pkt 1.
4. Równoważnik, o którym mowa w ust. 1 pkt 2, wypłaca się w kraju przed skierowaniem żołnierza w rejon polskiego kontyngentu wojskowego.
5. Wysokość równoważnika dla żołnierza skierowanego do pełnienia służby poza granicami państwa w składzie polskich kontyngentów wojskowych za środki do utrzymania higieny osobistej oraz konserwacji obuwia jest określona w załączniku nr 7 do rozporządzenia.
6. Wysokość równoważnika dla żołnierza skierowanego do pełnienia służby poza granicami państwa w składzie polskich kontyngentów wojskowych za przedmioty umundurowania i wyekwipowania, przybory do utrzymania higieny osobistej oraz konserwacji obuwia jest określona w załączniku nr 8 do rozporządzenia.
§ 11. [Wypłacanie równoważnika żołnierzowi skierowanemu do pełnienia służby poza granicami państwa w składzie jednostek międzynarodowych NATO i UE]
2. Równoważnik wypłaca się w kraju przed skierowaniem żołnierza do pełnienia służby poza granicami państwa według ceny określonej w załączniku nr 8 do rozporządzenia w wierszu oznaczonym lp. 1.
§ 12. [Nieprzysługujące równoważniki]
2. Po zakończeniu urlopu, o którym mowa w ust. 1, żołnierzowi wypłaca się równoważniki w kwotach proporcjonalnych za okres liczony od pierwszego dnia miesiąca kalendarzowego następującego po miesiącu, w którym zakończył się urlop, do końca okresu, za który równoważniki przysługują.
3. W przypadku wypłaty żołnierzowi równoważników przed rozpoczęciem przez niego urlopu, o którym mowa w ust. 1, równoważniki wypłacane po zakończeniu urlopu zmniejsza się proporcjonalnie do okresu przebywania na urlopie.
§ 13. [Okres przysługiwania równoważnika]
2. Równoważniki, o których mowa w ust. 1, zmniejsza się proporcjonalnie do okresu:
1) trwania aresztu tymczasowego;
2) zawieszenia w czynnościach służbowych;
3) odbywania kary pozbawienia wolności lub kary aresztu wojskowego;
4) pozostawania w dyspozycji, jeżeli w tym czasie żołnierz nie wykonywał zadań służbowych.
3. Równoważniki zmniejsza się za okres liczony od pierwszego dnia miesiąca kalendarzowego następującego po miesiącu, w którym zaistniała jedna z okoliczności, o których mowa w ust. 2, do ostatniego dnia miesiąca kalendarzowego, w którym okoliczności te ustały.
4. Żołnierzowi, któremu zmniejszono równoważnik ze względu na okoliczności, o których mowa w ust. 2 pkt 1-3, w stosunku do którego prawomocnie umorzono postępowanie karne lub dyscyplinarne lub który został prawomocnie uniewinniony, wypłaca się wyrównanie do pełnych należnych wysokości równoważnika.
§ 14. [Wypłacenie równoważnika żołnierzowi zwolnionemu z obowiązku przemundurowania]
§ 15. [Termin na wypłatę równoważników]
2. Równoważniki, o których mowa w § 3 ust. 1, § 5 ust. 1 i § 7 ust. 2 pkt 2, wypłaca się w terminie do końca pierwszego kwartału roku kalendarzowego.
3. W przypadku zmiany miejsca pełnienia służby przez żołnierza zawodowego, powodującego zmianę jednostki budżetowej, na której zaopatrzeniu w dziale mundurowym żołnierz pozostaje, równoważniki, o których mowa w § 3 ust. 1, § 5 ust. 1 i § 7 ust. 2 pkt 2, wypłaca się przed ubyciem żołnierza do nowego miejsca pełnienia służby wojskowej.
§ 16. [Dowódca jednostki budżetowej]
2. Komendant Główny Żandarmerii Wojskowej jest organem właściwym w sprawach wypłaty równoważnika pieniężnego, o którym mowa w § 7, żołnierzom zawodowym pełniącym służbę wojskową na stanowiskach służbowych w Żandarmerii Wojskowej.
§ 17. [Dowódca polskiego kontyngentu wojskowego]
§ 18. [Szef Służby Kontrwywiadu Wojskowego i Szef Służby Wywiadu Wojskowego]
§ 19. [Dowódca jednostki budżetowej]
1) stwierdzenia cech widocznej utraty wartości użytkowych umundurowania i wyekwipowania lub
2) noszenia przez żołnierza umundurowania i wyekwipowania nieobowiązujących wzorów, lub
3) nieposiadania przez żołnierza należnego umundurowania i wyekwipowania
- do czasu usunięcia tych nieprawidłowości.
§ 20. [Wypłacenie równoważnika żołnierzowi szeregowemu]
§ 21. [Termin wypłat równoważnika]
§ 22. [Wejście w życie]
Minister Obrony Narodowej: z up. W. Skurkiewicz
1) Niniejsze rozporządzenie było poprzedzone rozporządzeniem Ministra Obrony Narodowej z dnia 15 stycznia 2015 r. w sprawie równoważników pieniężnych przysługujących żołnierzom zawodowym oraz żołnierzom pełniącym służbę kandydacką w zamian za umundurowanie i wyekwipowanie niewydane w naturze (Dz. U. z 2021 r. poz. 1334), które zgodnie z art. 822 ust. 6 ustawy z dnia 11 marca 2022 r. o obronie Ojczyzny (Dz. U. poz. 655 i 974) traci moc z dniem wejścia w życie niniejszego rozporządzenia.
Załączniki do rozporządzenia Ministra Obrony
Narodowej z dnia 10 maja 2022 r. (poz. 1204)
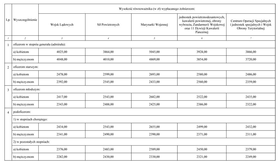
Załącznik nr 1
WYSOKOŚĆ RÓWNOWAŻNIKA PRZYSŁUGUJĄCEGO W ZAMIAN ZA UMUNDUROWANIE I WYEKWIPOWANIE NIEWYDANE W NATURZE, W TYM ZA CZYSZCZENIE UMUNDUROWANIA I WYEKWIPOWANIA


Załącznik nr 2
WYSOKOŚĆ RÓWNOWAŻNIKA DLA ŻOŁNIERZY MIANOWANYCH NA WYŻSZY STOPIEŃ WOJSKOWY


Załącznik nr 3
WYSOKOŚĆ RÓWNOWAŻNIKA ZA PRZEDMIOTY UBIORÓW CYWILNYCH NIEWYDANYCH W NATURZE


Załącznik nr 4
WYSOKOŚĆ RÓWNOWAŻNIKA DLA ŻOŁNIERZA STUDENTA W AKADEMII, SZKOLE I UCZELNI WOJSKOWEJ ZA PRZEDMIOTY UMUNDUROWANIA I WYEKWIPOWANIA NIEWYDANE W NATURZE

Załącznik nr 5
WYSOKOŚĆ RÓWNOWAŻNIKA DLA ŻOŁNIERZA STUDENTA W AKADEMII, SZKOLE I UCZELNI WOJSKOWEJ ZA ŚRODKI DO UTRZYMANIA HIGIENY OSOBISTEJ ORAZ KONSERWACJI OBUWIA

Załącznik nr 6
WYSOKOŚĆ RÓWNOWAŻNIKA DLA ŻOŁNIERZA ZAWODOWEGO STUDENTA W AKADEMII, SZKOLE I UCZELNI WOJSKOWEJ ZA PRZYBORY DO UTRZYMANIA HIGIENY OSOBISTEJ ORAZ KONSERWACJI OBUWIA

Załącznik nr 7
WYSOKOŚĆ RÓWNOWAŻNIKA DLA ŻOŁNIERZA SKIEROWANEGO DO PEŁNIENIA SŁUŻBY POZA GRANICAMI PAŃSTWA W SKŁADZIE POLSKICH KONTYNGENTÓW WOJSKOWYCH ZA ŚRODKI DO UTRZYMANIA HIGIENY OSOBISTEJ ORAZ KONSERWACJI OBUWIA

Załącznik nr 8
WYSOKOŚĆ RÓWNOWAŻNIKA DLA ŻOŁNIERZA SKIEROWANEGO DO PEŁNIENIA SŁUŻBY POZA GRANICAMI PAŃSTWA W SKŁADZIE POLSKICH KONTYNGENTÓW WOJSKOWYCH ZA PRZEDMIOTY UMUNDUROWANIA I WYEKWIPOWANIA, PRZYBORY DO UTRZYMANIA HIGIENY OSOBISTEJ ORAZ KONSERWACJI OBUWIA

Załącznik nr 9
WYSOKOŚĆ RÓWNOWAŻNIKA W ZAMIAN ZA PRZEDMIOTY UMUNDUROWANIA I WYEKWIPOWANIA POLOWEGO I ĆWICZEBNEGO NIEWYDANE W NATURZE

- Data ogłoszenia: 2022-06-06
- Data wejścia w życie: 2022-06-07
- Data obowiązywania: 2024-01-20
- Dokument traci ważność: 2025-10-13
REKLAMA
Dziennik Ustaw
REKLAMA
REKLAMA
