REKLAMA
Dziennik Ustaw - rok 2025 poz. 336
OBWIESZCZENIE
MINISTRA OBRONY NARODOWEJ
z dnia 20 lutego 2025 r.
w sprawie ogłoszenia jednolitego tekstu rozporządzenia Ministra Obrony Narodowej w sprawie wypłaty odprawy mieszkaniowej
1. Na podstawie art. 16 ust. 3 ustawy z dnia 20 lipca 2000 r. o ogłaszaniu aktów normatywnych i niektórych innych aktów prawnych (Dz. U. z 2019 r. poz. 1461) ogłasza się w załączniku do niniejszego obwieszczenia jednolity tekst rozporządzenia Ministra Obrony Narodowej z dnia 25 lipca 2016 r. w sprawie wypłaty odprawy mieszkaniowej (Dz. U. poz. 1195), z uwzględnieniem zmian wprowadzonych rozporządzeniem Ministra Obrony Narodowej z dnia 28 września 2023 r. zmieniającym rozporządzenie w sprawie wypłaty odprawy mieszkaniowej (Dz. U. poz. 2228).
2. Podany w załączniku do niniejszego obwieszczenia tekst jednolity rozporządzenia nie obejmuje § 2 rozporządzenia Ministra Obrony Narodowej z dnia 28 września 2023 r. zmieniającego rozporządzenie w sprawie wypłaty odprawy mieszkaniowej (Dz. U. poz. 2228), który stanowi:
„§ 2. Rozporządzenie wchodzi w życie po upływie 14 dni od dnia ogłoszenia.”.
Minister Obrony Narodowej: z up. P. Bejda
Załącznik do obwieszczenia Ministra Obrony Narodowej
z dnia 20 lutego 2025 r. (Dz. U. poz. 336)
ROZPORZĄDZENIE
MINISTRA OBRONY NARODOWEJ
z dnia 25 lipca 2016 r.
w sprawie wypłaty odprawy mieszkaniowej
Na podstawie art. 47 ust. 7 ustawy z dnia 22 czerwca 1995 r. o zakwaterowaniu Sił Zbrojnych Rzeczypospolitej Polskiej (Dz. U. z 2024 r. poz. 1270) zarządza się, co następuje:
§ 1. Rozporządzenie określa szczegółowe warunki i tryb wypłaty odprawy mieszkaniowej oraz wzory wniosków składanych w tych sprawach.
§ 2. Wypłata odprawy mieszkaniowej następuje na rachunek bankowy wskazany przez osobę, o której mowa w art. 23 ust. 1 lub 3 ustawy z dnia 22 czerwca 1995 r. o zakwaterowaniu Sił Zbrojnych Rzeczypospolitej Polskiej lub w art. 17 ustawy z dnia 22 stycznia 2010 r. o zmianie ustawy o zakwaterowaniu Sił Zbrojnych Rzeczypospolitej Polskiej oraz niektórych innych ustaw (Dz. U. poz. 143 oraz z 2015 r. poz. 1322), w terminie do 30 dni od dnia, w którym decyzja o jej wypłacie stała się ostateczna.
§ 3. 1. Wzór wniosku o wypłatę odprawy mieszkaniowej żołnierzowi zawodowemu jest określony w załączniku nr 1 do rozporządzenia.
2. Wzór wniosku o wypłatę odprawy mieszkaniowej w przypadku śmierci żołnierza zawodowego jest określony w załączniku nr 2 do rozporządzenia.
§ 4. Rozporządzenie wchodzi w życie po upływie 14 dni od dnia ogłoszenia1).2)
Załączniki do rozporządzenia Ministra Obrony Narodowej
z dnia 25 lipca 2016 r. (Dz. U. z 2025 r. poz. 336)
Załącznik nr 13)
WZÓR - WNIOSEK O WYPŁATĘ ODPRAWY MIESZKANIOWEJ ŻOŁNIERZOWI ZAWODOWEMU








Załącznik nr 24)
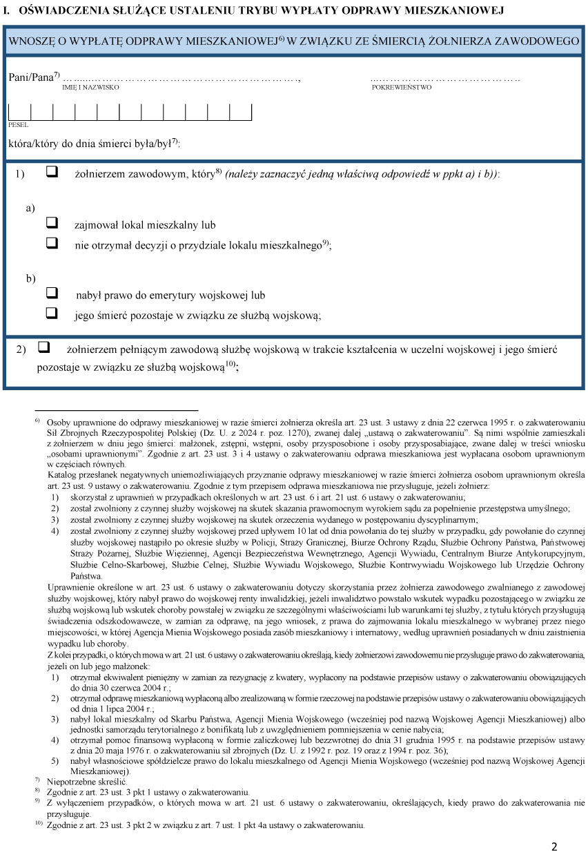
WZÓR - WNIOSEK O WYPŁATĘ ODPRAWY MIESZKANIOWEJ W PRZYPADKU ŚMIERCI ŻOŁNIERZA ZAWODOWEGO







1) Rozporządzenie zostało ogłoszone w dniu 8 sierpnia 2016 r.
2) Niniejsze rozporządzenie było poprzedzone rozporządzeniem Ministra Obrony Narodowej z dnia 9 czerwca 2010 r. w sprawie warunków i trybu wypłaty odprawy mieszkaniowej (Dz. U. poz. 775), które na podstawie art. 136 ust. 2 ustawy z dnia 10 lipca 2015 r. o Agencji Mienia Wojskowego (Dz. U. z 2016 r. poz. 614) utraciło moc z dniem wejścia w życie niniejszego rozporządzenia.
3) W brzmieniu ustalonym przez § 1 pkt 1 rozporządzenia Ministra Obrony Narodowej z dnia 28 września 2023 r. zmieniającego rozporządzenie w sprawie wypłaty odprawy mieszkaniowej (Dz. U. poz. 2228), które weszło w życie z dniem 1 listopada 2023 r.
4) W brzmieniu ustalonym przez § 1 pkt 2 rozporządzenia, o którym mowa w odnośniku 3.
- Data ogłoszenia: 2025-03-18
- Data wejścia w życie: 2025-03-18
- Data obowiązywania: 2025-03-18
REKLAMA
Dziennik Ustaw
REKLAMA
REKLAMA
